食品安全國家標準
食品中水分的測定
前 言
本標準代替GB/T 5009.3-2003《食品中水分的測定》和GB/T 14769-1993《食品中水分的測定方法》。
本標準與GB/T 5009.3-2003相比主要修改如下:
——增加了卡爾費休法作為“第四法”;
——對直接干燥法中的溫度范圍進行了修改;
——明確了第一法和第二法公式中的單位;
——對減壓干燥法的適用范圍進行了修改。
本標準所代替標準的歷次版本發布情況為:
——GB/T 5009.3-1985、GB/T 5009.3-2003;
——GB/T 14769-1993。
1 范圍
本標準規定了食品中水分的測定方法。
本標準中直接干燥法適用于在 101 ℃~105 ℃下,不含或含其他揮發性物質甚微的谷物及其制品、 水產品、豆制品、乳制品、肉制品及鹵菜制品等食品中水分的測定,不適用于水分含量小于 0.5 g/100 g 的樣品。
減壓干燥法適用于糖、味精等易分解的食品中水分的測定,不適用于添加了其它原料的糖果,如奶 糖、軟糖等試樣測定,同時該法不適用于水分含量小于 0.5 g/100 g 的樣品。
蒸餾法適用于含較多揮發性物質的食品如油脂、香辛料等水分的測定,不適用于水分含量小于 1 g/100 g 的樣品。
卡爾費休法適用于食品中水分的測定,卡爾?費休容量法適用于水分含量大于 1.0×10-3 g/100 g 的樣 品,卡爾費休庫倫法適用于水分含量大于 1.0×10-5 g/100 g 的樣品。
第一法 直接干燥法
2 原理
利用食品中水分的物理性質,在101.3 kPa(一個大氣壓),溫度101 ℃~105 ℃下采用揮發方法測定 樣品中干燥減失的重量,包括吸濕水、部分結晶水和該條件下能揮發的物質,再通過干燥前后的稱量數 值計算出水分的含量。
3 試劑和材料
除非另有規定,本方法中所用試劑均為分析純。
3.1 鹽酸:優級純。
3.2 氫氧化鈉(NaOH):優級純。
3.3 鹽酸溶液(6 mol/L):量取50 mL鹽酸,加水稀釋至100 mL。
3.4 氫氧化鈉溶液(6mol/L):稱取24 g氫氧化鈉,加水溶解并稀釋至100 mL。
3.5 海砂:取用水洗去泥土的海砂或河砂,先用鹽酸(3.3)煮沸0.5 h,用水洗至中性,再用氫氧化 鈉溶液(3.4)煮沸0.5 h,用水洗至中性,經105 ℃干燥備用。
4 儀器和設備
4.1 扁形鋁制或玻璃制稱量瓶。
4.2 電熱恒溫干燥箱。
4.3 干燥器:內附有效干燥劑。
4.4 天平:感量為0.1 mg。
5 分析步驟
5.1 固體試樣:取潔凈鋁制或玻璃制的扁形稱量瓶,置于101 ℃~105 ℃干燥箱中,瓶蓋斜支于瓶邊, 加熱1.0 h,取出蓋好,置干燥器內冷卻0.5 h,稱量,并重復干燥至前后兩次質量差不超過2 mg,即為恒 重。將混合均勻的試樣迅速磨細至顆粒小于2 mm,不易研磨的樣品應盡可能切碎,稱取2 g~10 g試樣 (精確至0.0001 g),放入此稱量瓶中,試樣厚度不超過5 mm,如為疏松試樣,厚度不超過10 mm,加 蓋,精密稱量后,置101 ℃~105 ℃干燥箱中,瓶蓋斜支于瓶邊,干燥2 h~4 h后,蓋好取出,放入干燥 器內冷卻0.5 h后稱量。然后再放入101 ℃~105 ℃干燥箱中干燥1 h左右,取出,放入干燥器內冷卻0.5 h 后再稱量。并重復以上操作至前后兩次質量差不超過2 mg,即為恒重。
注:兩次恒重值在最后計算中,取最后一次的稱量值。
5.2 半固體或液體試樣:取潔凈的稱量瓶,內加10 g海砂及一根小玻棒,置于101 ℃~105 ℃干燥箱 中,干燥1.0 h后取出,放入干燥器內冷卻0.5 h后稱量,并重復干燥至恒重。然后稱取5 g~10 g試樣(精 確至0.0001 g),置于蒸發皿中,用小玻棒攪勻放在沸水浴上蒸干,并隨時攪拌,擦去皿底的水滴,置 101 ℃~105 ℃干燥箱中干燥4 h后蓋好取出,放入干燥器內冷卻0.5 h后稱量。以下按5.1自“然后再放入 101 ℃~105 ℃干燥箱中干燥1 h左右……”起依法操作。
6 分析結果的表述
試樣中的水分的含量按式(1)進行計算。

(1)
式中:
X ——試樣中水分的含量,單位為克每百克(g/100g);
m1 ——稱量瓶(加海砂、玻棒)和試樣的質量,單位為克(g);
m2 ——稱量瓶(加海砂、玻棒)和試樣干燥后的質量,單位為克(g);
m3 ——稱量瓶(加海砂、玻棒)的質量,單位為克(g)。
水分含量≥1 g/100 g時,計算結果保留三位有效數字;水分含量<1 g/100 g時,結果保留兩位有效數字。
7 精密度
在重復性條件下獲得的兩次獨立測定結果的絕對差值不得超過算術平均值的5 %。
第二法 減壓干燥法
8 原理
利用食品中水分的物理性質,在達到40 kPa~53 kPa壓力后加熱至60 ±5 ℃ ℃,采用減壓烘干方法 去除試樣中的水分,再通過烘干前后的稱量數值計算出水分的含量。 9 儀器和設備
9.1 真空干燥箱。
9.2 扁形鋁制或玻璃制稱量瓶。
9.3 干燥器:內附有效干燥劑。
9.4 天平:感量為0.1 mg。
10 分析步驟
10.1 試樣的制備:粉末和結晶試樣直接稱??;較大塊硬糖經研缽粉碎,混勻備用。 10.2 測定:取已恒重的稱量瓶稱取約2 g~10 g(精確至0.0001 g)試樣,放入真空干燥箱內,將真空 干燥箱連接真空泵,抽出真空干燥箱內空氣(所需壓力一般為40 kPa~53 kPa),并同時加熱至所需溫度 60 ℃±5 ℃。關閉真空泵上的活塞,停止抽氣,使真空干燥箱內保持一定的溫度和壓力,經4 h后,打 開活塞,使空氣經干燥裝置緩緩通入至真空干燥箱內,待壓力恢復正常后再打開。取出稱量瓶,放入干 燥器中0.5 h后稱量,并重復以上操作至前后兩次質量差不超過2 mg,即為恒重。
11 分析結果的表述 同6。
12 精密度 在重復性條件下獲得的兩次獨立測定結果的絕對差值不得超過算術平均值的10 %。
第三法 蒸餾法
13 原理
利用食品中水分的物理化學性質,使用水分測定器將食品中的水分與甲苯或二甲苯共同蒸出,根據 接收的水的體積計算出試樣中水分的含量。本方法適用于含較多其他揮發性物質的食品,如油脂、香辛 料等。
14 試劑和材料 甲苯或二甲苯(化學純):取甲苯或二甲苯,先以水飽和后,分去水層,進行蒸餾,收集餾出液備 用。
15 儀器和設備
15.1 水分測定器:如圖1所示(帶可調電熱套)。水分接收管容量5 mL,最小刻度值0.1 mL,容量誤 差小于0.1 mL。

1. 250 mL蒸餾瓶; 2. 水分接收管,有刻度; 3. 冷凝管。
圖1 水分測定器
15.2 天平:感量為0.1mg。
16 分析步驟
準確稱取適量試樣(應使最終蒸出的水在2 mL~5 mL,但最多取樣量不得超過蒸餾瓶的2/3),放 入250 mL錐形瓶中,加入新蒸餾的甲苯(或二甲苯)75 mL,連接冷凝管與水分接收管,從冷凝管頂端注 入甲苯,裝滿水分接收管。
加熱慢慢蒸餾,使每秒鐘的餾出液為兩滴,待大部分水分蒸出后,加速蒸餾約每秒鐘4滴,當水分 全部蒸出后,接收管內的水分體積不再增加時,從冷凝管頂端加入甲苯沖洗。如冷凝管壁附有水滴,可 用附有小橡皮頭的銅絲擦下,再蒸餾片刻至接收管上部及冷凝管壁無水滴附著,接收管水平面保持10 min不變為蒸餾終點,讀取接收管水層的容積。
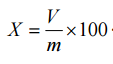
17 分析結果的表述 試樣中水分的含量按式(2)進行計算。

(2)
式中:
X——試樣中水分的含量,單位為毫升每百克(mL/100 g)(或按水在20 ℃的密度0.998,20 g/mL 計算質量);
V——接收管內水的體積,單位為毫升(mL);
m——試樣的質量,單位為克(g)。
以重復性條件下獲得的兩次獨立測定結果的算術平均值表示,結果保留三位有效數字。
18 精密度
在重復性條件下獲得的兩次獨立測定結果的絕對差值不得超過算術平均值的10 %。
第四法 卡爾·費休法
19 原理 根據碘能與水和二氧化硫發生化學反應,在有吡啶和甲醇共存時,1 mol碘只與1 mol水作用,反應式如下:
C5H5N·I2 + C5H5N·SO2 + C5H5N + H2O + CH3OH→ 2C5H5N·HI + C5H6N[SO4CH3]
卡爾·費休水分測定法又分為庫侖法和容量法。庫侖法測定的碘是通過化學反應產生的,只要電解 液中存在水,所產生的碘就會和水以1:1的關系按照化學反應式進行反應。當所有的水都參與了化學反 應,過量的碘就會在電極的陽極區域形成,反應終止。容量法測定的碘是作為滴定劑加入的,滴定劑中 碘的濃度是已知的,根據消耗滴定劑的體積,計算消耗碘的量,從而計量出被測物質水的含量。
20 試劑和材料
20.1 卡爾·費休試劑。
20.2 無水甲醇(CH4O):優級純。
21 儀器和設備
21.1 卡爾·費休水分測定儀。
21.2 天平:感量為0.1 mg。
22 分析步驟
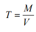
22.1 卡爾·費休試劑的標定(容量法) 在反應瓶中加一定體積(浸沒鉑電極)的甲醇,在攪拌下用卡爾·費休試劑滴定至終點。加入10 mg 水(精確至0.0001 g),滴定至終點并記錄卡爾·費休試劑的用量(V)。卡爾·費休試劑的滴定度按式 (3)計算:

(3)
式中:
T——卡爾·費休試劑的滴定度,單位為毫克每毫升(mg/ mL);
M——水的質量,單位為毫克(mg);
V——滴定水消耗的卡爾·費休試劑的用量,單位為毫升(mL)。
22.2 試樣前處理 可粉碎的固體試樣要盡量粉碎,使之均勻。不易粉碎的試樣可切碎。
22.3 試樣中水分的測定 于反應瓶中加一定體積的甲醇或卡爾·費休測定儀中規定的溶劑浸沒鉑電極,在攪拌下用卡爾·費 休試劑滴定至終點。迅速將易溶于上述溶劑的試樣直接加入滴定杯中;對于不易溶解的試樣,應采用對 GB 5009.3—2010 6 滴定杯進行加熱或加入已測定水分的其他溶劑輔助溶解后用卡爾·費休試劑滴定至終點。建議采用庫侖 法測定試樣中的含水量應大于10 μg,容量法應大于100 μg。對于某些需要較長時間滴定的試樣,需要 扣除其漂移量。
22.4 漂移量的測定 在滴定杯中加入與測定樣品一致的溶劑,并滴定至終點,放置不少于10 min后再滴定至終點,兩次 滴定之間的單位時間內的體積變化即為漂移量( D )。 23 分析結果的表述 固體試樣中水分的含量按式(4),液體試樣中水分的含量按式(5)進行計算。

(4)

(5)
式中:
X ——試樣中水分的含量,單位為克每百克(g /100 g);
V1——滴定樣品時卡爾·費休試劑體積的數值,單位為毫升(mL);
T ——卡爾·費休試劑的滴定度的準確數值,單位為克每毫升(g/ mL);
M ——樣品質量的數值,單位為克(g);
V2——液體樣品體積的數值,單位為毫升(mL);
D ——漂移量,單位為毫升每分鐘(mL/min);
t ——滴定時所消耗的時間,單位為分鐘(min);
ρ ——液體樣品的密度,單位為克每毫升(g/ mL)。
水分含量≥1 g/100 g時,計算結果保留三位有效數字;水分含量<1g/100g,計算結果保留兩位 有效數字。
24 精密度
在重復性條件下獲得的兩次獨立測定結果的絕對差值不得超過算術平均值的10 %。